广西公办高职高专院校2024年高职院校
分类考试招生联合测试对口招生
《文化基础测试+职业技能测试》
考试大纲
本考试大纲依据《国务院关于深化考试招生制度改革的实施意见》(国发〔2014〕35号)、《教育部办公厅关于进一步完善高职院校分类考试工作的通知》(教学厅函〔2021〕36号)、广西壮族自治区人民政府《关于印发广西深化考试招生制度改革实施方案的通知》(桂政发〔2016〕11号)、《自治区招生考试院关于做好我区2024年高职院校分类考试招生工作的通知》(桂考院〔2023〕227号)等文件精神制定。
一、测试性质
本考试大纲适用于2024年广西35所公办高职高专院校招生联盟对口招生的联合测试。
二、测试对象
申报2024年广西公办高职高专院校招生联盟对口招生联合测试的中职毕业生(包括“2+3”直升考生)。
三、测试目标
依据联盟学校的人才选拔要求和专业课程标准,科学设计命题内容,增强基础性、综合性,实行“文化基础测试+职业技能测试”评价方式,着重考查学生文化基础和职业技能,全面、准确地反映考生的学习能力和水平,为联盟学校专业招生择优录取提供依据,促进公平竞争、科学选才。
四、测试形式
本次测试采用线下笔试形式进行,采用标准化答题卡答卷,时长为120分钟。
参加联合测试的考生为“对口招生”类型。
五、测试内容和试卷结构
测试的主要内容分为两部分:文化基础测试和职业技能测试。
总分600分,其中文化基础测试300分,职业技能测试300分。
(一)文化基础测试试卷结构和内容
1.试卷结构
文化基础测试包括语文、数学、英语三部分内容,总分300分。
(1)语文
①测试分值,满分为100分。
②题型,均为单项选择题(四选一),共20题,每题5 分。
(2)数学
①测试分值,满分为100分。
②题型,均为单项选择题(四选一),共20题,每题5 分。
(3)英语
①测试分值,满分为100分。
②题型,均为单项选择题(四选一),共20题,每题5 分。
2.测试内容及范围
测试参考教育部颁发的《中等职业学校语文课程标准》《中等职业学校数学课程标准》《中等职业学校英语课程标准》的要求,知识覆盖面要广,难度适中,是作为一个中职毕业生所必备的最基础的知识。
3.试卷呈现
具体详见附件1:广西公办高职高专院校招生联盟2024年高职院校分类考试招生联合测试对口招生考试文化基础测试试卷(样题)。
(二)职业技能测试试卷结构和内容
1.试卷结构
职业技能测试目的是考查考生的职业潜能,包括学习能力、语言表达能力、分析推理能力、技术技能操作能力。
总分300分。其中:
(1)学习能力:10道题,每题10分,满分100分;
(2)语言表达能力:10道题,每题10分,满分100分;
(3)分析推理能力:5道题,每题10分,满分50分;
(4)技术技能操作能力:5道题(卷面15道题选择5道作答),每题10分,满分50分。
2.测试内容
职业技能测试内容包括学习能力、语言表达能力、分析推理能力、技术技能操作能力。
(1)学习能力测试的主要内容:
①注意力。包括:注意力的稳定性、持续性、广度、分配转移、集中性五个指标的测试。
②记忆力。包括:选择记忆、联想记忆、视觉再生、视觉再认、视听综合等记忆力指标的测试。
③思维力。包括:抽象思维能力、空间思维能力、逻辑思维能力等指标的测试。
④观察力。包括:目的性、条理性、理解性、敏锐性、准确性等方面的测试。
(2)语言表达能力测试的主要内容:
语言表达能力测试,是以语文为工具,测试考生对自然科学、人文与社会科学等基础知识的理解与表达能力。
语言表达能力的测试包括:运用语言的能力,即运用字、词、句、段进行口头和书面语言表达能力的测试。
①了解相关学科的常用术语和表达形式,以及新成果和新术语。
②理解相关学科的基本概念、一般原理和普遍规律,能理解所给文本中重要的词语,解释文本中重要的句子,进行文章、段落的概括与归纳。
③应用科学知识去正确地解释和说明有关现象和问题,对已学知识具有综合、重组和转换的能力,且具有敏锐地接受新知识的能力。
(3) 分析推理能力测试的主要内容:
分析推理能力主要测试考生对各种事物关系的分析推理能力,涉及对图形、词语概念、数量关系、事物关系和文字材料的理解、比较、组合、演绎和归纳等。包括:归纳推理能力、演绎推理能力、类比推理能力等。
(4) 技术技能操作能力测试的主要内容:
技术技能操作能力测试主要测试考生岗位技能、通用技术操作能力,考核内容主要涉及教育部发布的中职专业教学标准中的核心技术技能。
3.试卷呈现
联合测试采用现场笔试的方式进行,测试题为标准化试题,采用标准化答题卡答卷。具体详见附件2:广西公办高职高专院校招生联盟2024年高职院校分类考试招生联合测试对口招生考试职业技能测试试题(样题)。
六、试题编制要求
按照考试的要求和范围编制试题,试题编制应当符合考试目标要求,充分考虑中职学生的学业实际,做到科学、合理;题意明确、文字通顺、表述准确严密;标点符号无误、图表绘制规范;不出现政治性、科学性错误;避免学术上有争议的问题;不出偏题、怪题和没有考查意义的题目。试题具有较高的信度效度、必要的区分度和适当的难度,题目的答案应准确、规范。
命题小组组长按测试的要求和范围审定试题及组配试卷。每份试卷要覆盖测试的范围,杜绝出现政治性、科学性、公平性、规范性问题。组配的试卷要使不同能力层次试题的分数和不同难易程度试题的比例适当。
本次测试应组配出两套试卷,分A、B两份试题,由测评工作领导小组随机确定考试试卷。
附件:1.广西公办高职高专院校招生联盟2024年高职院校分类考试招生联合测试对口招生考试文化基础测试试题(样题)
2.广西公办高职高专院校招生联盟2024年高职院校分类考试招生联合测试对口招生考试职业技能测试试题(样题)
附件1
广西公办高职高专院校招生联盟2024年高职院校
分类考试招生联合测试对口招生考试
文化基础测试试题(样题)
说明:
1.本测试包括语文、数学、英语三部分内容。
2.本测试全部采用标准化试题,每题中都有4个备选答案,请你选出一个自认为是最佳的答案并填涂在答题卡上,多选、不选或错选均不得分。
3.本测试共60题,每题5分。满分为300分。
4.对口招生《文化基础测试+职业技能测试》考试时间共120分钟。
一、语文(本大题共20题,每题满分5分,共100分)
1.下面各组词语中加点的字,读音完全正确的一项是
A.绯红(fēi) 教诲(huì) 解剖 (pāo) 深恶痛绝(wù)
B.鲜腴(yú) 窒息(shì) 匿名 (nì) 恹恹欲睡(yān)
C.丘壑(hè) 濒临(pín) 纤维 (xiān) 惟妙惟肖(xiāo)
D.喧嚣(xiāo) 遒劲(jìng) 畸形 (jī) 无动于衷(zhōng)
2.下列句子中有错别字的一项是
A.《论语》有载,孔子根据每个学生的不同特点与状态,用通俗的语言指导他们如何尽孝、如何为政、如何行仁。
B.每个夜幕深垂的晚上,山下亮起灿烂的万家灯火,山上闪出蔬落的灯光。山下的灯把黑暗照亮了,山上的灯把黑暗照淡了,淡如烟,淡如雾,山也虚无,树也缥缈。
C.太空的环境充满各种不确定性,当被问及有没有想过失败时,宇航员王亚平说,“太空授课最大的原则就是真实性,无论成功与否,都必须原原本本地展示给世界。”
D.锻炼后吃得不健康可能会抵消锻炼效果。美国一项研究显示,想运动后吃得健康,最好运动前就想好运动后吃什么。
3.下列标点符号使用全部正确的一项是( )。
A.历史正剧往往庄重严整,因为它倾向于真实再现,历史传奇常常灵动丰盈,因为它有较多理想色彩。
B.对于校园暴力事件,我们既要反思发生暴力事件的原因究竟是什么,还要反思暴力事件发生之前管理者都做了什么?
C.“鞠躬尽瘁,死而后已”正好准确地描述了他的一生。
D.我推开教室门,看见一个小姑娘,只有八、九岁光景。
4.下列各句中加点成语使用恰当的一项是( )。
A.本来藏在叶子底下的那盏路灯格外明亮,马路豁然开朗,像拓宽了几尺。
B.为了大桥的早日建成通车,工程技术人员处心积虑地克服了许多困难。
C.自私者只记得“为己”二字,在他们看来,舍己救人,公而忘私的行为是不可思议的。
D.银杏树根深蒂固,抗风力很强,是扩大绿化面积,治理山河的优良树种。
5.下列句子没有语病的一句是( )。
A.作为战地记者,他只说普通人的故事,尤其是那些被迫承受战争冲突和恐惧的孩子们的故事。
B.如果我能帮助他们把那些信息传递给世界,那么就可能达成某种解决办法。
C.网络售假行为愈演愈烈,会上专家分析网络售假的行为,引起人们的广泛关注。
D.她的创新设计为公司带来了丰厚的利润,她为这项设计付出的努力和取得的成绩终于得到了回报。
6.以“两袖清风存正气”为上句,能与之组成对联的最恰当的一项是( )。
A.万紫千红总是春 B.一间陋室透书香
C.一身正气存人间 D.三生有幸结良师
7.依次填入下列句子横线处的词语,恰当的一项是( )。
(1)母亲一生始终未离开武陵山区,我也随着她和父亲在武陵山水间 。
(2)远眺试飞机场,天地混为一体,这就是“彩虹”无人机 的起点,更是放飞梦想的舞台。
(3)虽然从客观规律上看,治霾难 ,但就紧迫性而言,治霾还必须得只争朝夕。
A.漂流 遨游 一步登天 B.转移 遨游 一蹴而就
C.散步 翱翔 一步登天 D.辗转 翱翔 一蹴而就
8.依次填入下面横线上的语句,顺序最恰当的是( )。
我们走进了一座美丽的小城。 。
① 白砖绿瓦的屋舍悠然地倒映在水中。
② 走出小城,郊外风景幽美,绿色的丘陵上长满了松树。
③ 城中有一条小河流过,河水清澈见底。
④ 丛生的柳树散布在山丘脚下。
A.④②①③ B.④②③①
C.③①②④ D.①②④③
9.下面诗句从描写的季节来看,正确的一项( )。
落红不是无情物, 化作春泥更护花。
A.晚秋 B.暮春 C.盛夏 D.严冬
10.读《中国互联网络发展状况统计表》,分析表格所透露的信息有错误的一项是
年 份 |
2016年 |
2017年 |
2018年 |
网民数量(单位:万人) |
73125 |
77198 |
82851 |
互联网普及率 |
53.2% |
55.8% |
59.6% |
移动互联网接入流量(单位:亿GB) |
93.8 |
246.0 |
711.1 |
网民男女比例 |
52.4:47.6 |
52.6:47.4 |
52.7:47.3 |
A.2018年,我国网民规模达8.29亿,比较2017年新增网民5653万人。
B.近三年,移动互联网接入流量大幅度增长,说明手机网民在逐年增多。
C.近三年,男网民占比在增加,女网民占比却在减少。
D.值得关注的是,互联网娱乐正在不断繁荣,并且进入了规范发展轨道。
阅读下面文段,回答第11-12题。
卢永根,中国科学院院士,华南农业大学教授。种得桃李满天下,心唯大我育青禾。是春风,是春蚕,更化作护花的春泥。热爱祖国,你要把自己燃烧。稻谷有根,深扎在泥土,你也有根,扎根在人们心里。
——摘自《2017年十大感动人物颁奖词》
11.文中划线的句子主要使用的修辞方法是( )。
A.借代 B.拟人 C.排比 D.比喻
12.下列对原文的理解和分析,不正确的一项是( )。
A.“种得桃李满天下,心唯大我育青禾”概括了卢永根的工作业绩。
B.“你也有根,扎根在人们心里”说明人们永远记住卢永根的先进事迹。
C.卢永根不忘初心,隐忍坚守,对待学生和同事像兄弟一样亲切。
D.卢永根热爱祖国,把自己的全部才能和精力都奉献给祖国。
阅读下面的文言文,完成第13-15题。
北山愚公者,年且九十,面山而居。惩山北之塞,出入之迂也。聚室而谋曰:“吾与汝毕力平险,指通豫南,达于汉阴,可乎?”杂然相许。其妻献疑曰:“以君之力,曾不能损魁父之丘,如太行、王屋何?且焉置土石?”杂曰:“投诸渤海之尾,隐土之北。”遂率子孙荷担者三夫,叩石垦壤,箕畚运于渤海之尾。邻人京城氏之孀妻有遗男,始龀,跳往助之。寒暑易节,始一反焉。
——节选自《列子》
13.下列加点的字,在文中解释不正确的一项是( )。
A.年且九十 且:将近
B.惩山北之塞 塞:边远
C.投诸渤海之尾 诸:相当于“之于”
D.始一反焉 反:通“返”,往返
14.下列句中“于”的用法和意义与例句完全相同的一项是( )。
例句:达于汉阴,可乎?
A.箕畚运于渤海之尾 B.苟全性命于乱世,不求闻达于诸侯。
C.冰,水为之,而寒于水。 D.生于忧患,死于安乐。
15.下列对“年且九十”的解释,正确的一项是( )。
A.年关已过九十天 B.年纪超过九十岁了
C.过年还有九十天 D.年纪快到九十岁了
16.……
17.……
18.……
19.……
20.……
二、数学(本大题共20题,每题满分5分,共100分)
21.下列函数是偶函数的是( ).
A.
B.
C.
D.
22. 不等式
的解集为
A.
B.
C.
D.
23.从9道选择题和3道填空题中任选一道进行解答,不同的选择方法有
A.10种 B.12种
C.13种 D.14种
24.下列各函数中,不是指数函数的是
A. y=
B. y=2x
C. y=
D. y=2-x
25. 若
为
的内角,则下列函数中一定取正值的是
A.
B.
C.
D.
26.在等比数列
中,若
,前3项和
,则公比
的值为
A.1 B.
C.1或
D.
或
27.已知向量
,
,若
与
垂直,则实数
的值为
A.
B.
C.
D.
28.若直线
过点
且与直线
垂直,则
的方程为
A.
B.
C.
D.
29. 如图1,直线
将矩形纸
分为两个直角梯形
和
,将梯形
沿边
翻折,如图2,在翻折的过程中(平面
和
不重合),下面说法正确的是
A.存在某一位置,使得
平面
B.存在某一位置,使得
平面
C.在翻折的过程中,
平面
恒成立
D.在翻折的过程中,
平面
恒成立
30.在微信群的某次抢红包活动中,所发红包被随机的分配为
元,
元,
元,
元,
元共五份,每人只能抢一次,若红包抢完时,则其中小红、小强两人抢到红包金额之和不少于
元的概率是
A.
B.
C.
D.
31.……
32.……
33.……
34.……
35.……
36.……
37.……
38.……
39.……
40.……
三、英语(本大题共20题,每题满分5分,共100分)
41.—Who is in the office?
—Mr. Smith. He a report now.
A.writes B.wrote
C.is writing D.was writing
42.—What are you doing over there, dad?
— I .
A.read B.reads
C.am reading D.is reading
43.— Could you please help me _____ my dog when I am away on holiday?
— Sure.
A.look at B.look after
C.look for D.look like
44.I like cooking. I want to be a ______.
A.teacher B.doctor
C.repairman D.cook
45.Which sign means "No smoking"?
A.
B.
C.
D.
阅读理解,完成第46-50题。
Readers(朗读者)is a popular TV show in China. It invites different people to read aloud on the stage. The show also tells the moving stories behind those people. They can read everything like poems, books, and letters. By reading aloud, the words on the paper come to life. Many people are fans of the show. They begin to enjoy reading at home. Now the show gives people a special place to read across China. It is a reading pavilion(朗读亭).It showed up in many cities, including Shanghai, Hangzhou and Xian.
The pavilion is not very big. Only one person can come into it each time. There is a microphone in it and it records peoples voices. Everyone can read for three minutes in the pavilion. They can read anything they like. The show will pick some of the readers and invite them to read on TV.
People of all ages read in the pavilion.“Reading should be just like singing and talking,” said Dong Qing, the host and producer of the show.“We can express our true feeling by reading aloud.”
46.What is the passage mainly about?
A.A TV show in the US. B.A TV show in China.
C.A reader in the US. D.A reader in the China.
47.The show invites different people to ______ on the stage.
A.watch films B.laugh aloud
C.play games D.read aloud
48.What do the underlined words "are fans of" mean in Paragraph 1?
A.love B.see
C.hate D.record
49.According to the host of the show, reading should be just like ______.
A.thinking and writing B.singing and talking
C.thinking and making D.singing and dancing
50. ______ is the host and producer of the show.
A.Wang Xiaoya. B.Zhou Tao.
C.Dong Qing. D.Ni Ping.
51.……
52.……
53.……
54.……
55.……
56.……
57.……
58.……
59.……
60.……
附件2
广西公办高职高专院校招生联盟2024年高职院校
分类考试招生联合测试对口招生考试
职业技能测试试题(样题)
说明:
1.本测试包括学习能力、语言表达能力、分析推理能力、技术技能操作能力四部分内容。
2.本测试全部采用标准化试题,每题中都有4个备选答案,请你选出一个自认为是最佳的答案并填涂在答题卡上,多选、不选或错选均不得分。
3.本测试共30题,每题10分。满分为300分。
4.对口招生《文化基础测试+职业技能测试》考试时间共120分钟。
一、学习能力(本大题共10题,每题满分10分,共100分)
1.友谊的深浅,由下列哪一个成语可以看出情义最为深重?( )
A.莫逆之交 B.金兰之交
C.刎颈之交 D.点头之交
2. 当你计划到一个陌生的城市旅游,你需要提前了解以下哪些基本信息?
A.住宿、教育、气候 B.吃住、交通、景点
C.工业、名人、经济 D.住宿、人口、农业
3.我们都听说过“乌鸦喝水”的故事,瓶子的水少,乌鸦就用旁边随处可见的石子放在瓶子里,最后使自己喝到了水。这说明人们在利用有限的资源取得成功的时候,最重要的要善于
A.依靠外界力量 B.提高工作效率
C.做好思想准备 D.运用方法和工具
4.本题后面列的哪一项应接在“X 0 0 0 0 X X 0 0 0 X X X”的后面。( )
A.X 0 X 0; B.0 0 X; C.0 X X; D.0 0
5.当学习和娱乐发生冲突时,你的选择是
A.马上决定去学习 B.先娱乐然后再学习
C.尽情娱乐忘了学习 D.不情愿地勉强学习
6.下面四种叙述能称为算法的是( )。
A.在家里一般是妈妈做饭
B.做米饭需要刷锅、淘米、添水、加热这些步骤
C.在野外做饭叫野炊
D.做饭必须要有米
7.进入互联网时代,发电子邮件是不可少的,一般而言,发电子邮件包括以下几个步骤:a.打开电子信箱;b.输入发送地址;c.输入主题;d.输入信件内容;e.点击“写邮件”;f.点击“发送邮件”。正确的步骤是( )。
A.a→b→c→d→e→f
B.a→c→d→f→e→b
C.a→e→b→c→d→f
D.b→a→c→d→f→e
8.人讲举一反三、触类旁通,意思是掌握某种知识后,能把这些知识应用于相似的或有联系的工作岗位及工作任务中去,实现学习的迁移。当然,迁移有正迁移和负迁移之分,下面哪些现象不属于正迁移?( )
A.学习钢琴的人再来学习电子琴
B.学习汉语拼音的人再去学习英语
C.学习数学的人再去学习经济学
D.学习英语的人再来学习法语
9.如果两个正整数之积为偶数,则这两个数( )
A.都是偶数
B.一个是奇数,一个是偶数
C.至少一个是偶数
D.恰有一个是偶数
10.对实数a,b定义运算“⊗”为a⊗b=ab.则下列命题中正确命题的个数是( )。
① a⊗b=b⊗a;
② (a⊗b)⊗c=a⊗(b⊗c);
③ a⊗(b+c)=(a⊗b)+(a⊗c),
A.0 B.1 C.2 D.3
二、语言表达能力(本大题共10题,每题满分10分,共100分)下面各题中都有4个备选答案,请你选出一个自认为是最佳的答案并填涂在答题卡上,多选、不选或错选均不得分。
1.在今天的商业世界中,供过于求是普遍现象。为了说服顾客购买自己的产品,大规模竞争就在同类商品的生产企业之间展开了,他们得经常设法向消费者提醒自己产品的名字和优等的质量,这就需要靠广告。
对这段文字概括最恰当的是
A.广告是商业世界的必然产物
B.各商家之间用广告开展竞争
C.广告就是要说服顾客买东西
D.广告是经济活动中供过于求的产物
2.我国有“礼仪之邦”“协和万邦”“德莫大于和”的文化传统,历史上有联欧亚,开辟丝绸之路;郑和下西洋;历万难,玄奘印度取经;为传经,鉴真东渡扶桑等友好交往的典型事例。这些都反映了中华民族的( )。
A.勤劳勇敢精神 B.热爱和平精神
C.团结统一精神 D.自强不息精神
3.牛的可贵之处,即在活着的时候,就不知疲倦地供人役使,死后则把全身献给社会。牛对于社会真是“鞠躬尽瘁,死而后已”。这段话支持了这样一种观点。( )
A.牛是不知疲倦的动物
B.牛是农民的宝贝
C.牛是社会的财富
D. 牛是奉献精神的象征
4.您是来参加今天会议的吗?您来早了一点儿,现在才八点半。您先进来坐吧。
会议最可能几点开始?( )
A.9点半 B.8点半 C.9点 D.10点
5.某商场一年中各月份的收入、支出情况的统计如图所示,下列说法中错误的是( )。
A.
至
月份的收入的变化率与
至
月份的收入的变化率相同
B.支出最高值与支出最低值的比是
C.利润最高的月份是
月份
D.第三季度平均收入为
万元
6.……
7.……
8.……
9.……
10.……
三、分析推理能力(本大题共5题,每题满分10分,共50分)
1.给出一对相关的词“书籍:知识”。从以下备选答案中找出一对与之在逻辑关系上较为贴近的词( )。
A.运动:健康 B.战争:和平
C.公平:合理 D.青春:美丽
2.商场有一个活动,先旋转转盘指针。如果指针停在奇数的位置,玩家就可以从袋子抽出一个弹珠。转盘和袋子里的弹珠如下图所示,如果抽到黑色的弹珠就能得到奖品,小明试了一次,请问他得到奖品的可能性为何?

A.不可能 B. 不太可能
C.非常可能 D.—定可以
3.有五个学生:甲、乙、丙、丁、戊,他们的学习成绩的关系为:丙没有丁好,甲没有乙好,戊好于丁,而乙不如丙好。请问五位学生成绩从高到低排序是( )。
A.甲乙丙丁戊
B.乙戊丁丙甲
C.丁丙乙甲戊
D.戊丁丙乙甲
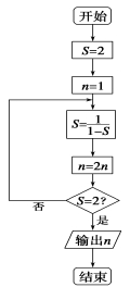
4.阅读如图所示的程序框图,运行相应的程序,输出的结果是( )。
A.2 B.4 C.8 D.16
5.如果生物要生存,就需要进行呼吸运动;乳酸菌是一种生物,可以在无氧条
件下生存。根据以上描述,可以推断( )。
A.有的生物在无氧条件下可以进行呼吸运动
B.乳酸菌是一种不需要呼吸的生物
C.乳酸菌在无氧条件下不能呼吸
D.能在无氧条件下生存的生物为数不多
四、技术技能操作能力(本大题共15题,请选择其中5题进行作答,每题满分10分,共50分)
1.下列常用电工工具中,不具有绝缘套管的是( )。
A.钢丝钳 B.尖嘴钳 C.剥线钳 D.活络扳手
2.正确使用验电笔的方法是( )
3.根据立体图绘制主视图,箭头指向为主视方向,下图中正确的是( )。

4.用砂轮机磨削工件时,应在砂轮机转速( )后进行。
A.加速 B.减速 C.停止 D.正常
5.使用锉刀时不能( )。
A.推锉 B.来回锉 C.单手锉 D.双手锉
6.要求两轴中心距较大,且为低速、重载和高温等场合下工作,宜选用( )。
A.带传动 B.链传动 C.螺旋传动 D.齿轮传动
7.可避免引起机械伤害的做法是( )。
A.转动部位停稳前操作 B.跨越运转的机轴
C.旋转物件上不得放置物品 D.旋转部件上可放少量工具
8.用扳手转动螺栓时,顺时针为( ),逆时针为( )。
A.拧松 拧紧 B.拧紧 拧松 C.拧松 拧松 D.以上都不正确
9.在数字电路中,或逻辑运算,1+1=( )。
A. 0 B. 1 C. 2 D. 10
10.叉车载货下坡时应( )。
A.倒车行驶 B.加速行驶 C.正常行驶 D.减速行驶
11.出纳人员根据审核无误的原始凭证(价值50元),在办理付款业务时,应在付款原始凭证上签字并加盖( )章。
A.现金收讫 B.现金付讫 C.银行收讫 D.银行讨讫
12.一些B2B网站的后台都设有新闻发布功能,便于优化人员在商铺中发布企业或产品新闻。这属于软文传播路径中纵向传播的哪一种( )。
A.内页路径 B.论坛路径 C.软文路径 D.商铺路径
13.物流派件时客户未签字,快递员回到营业网点后( )代替客户签字。
A.必须 B.一般可以 C.有时不可以 D.不可以
14.餐饮服务中,为客人撤下筷套时,以下行为正确的是( )。
A.无需为客人撤筷套 B.直接上前为客人撤筷套
C.用手势或语言提醒客人 D.请客人把筷套递给自己
15.洗手时保育员为幼儿卷袖不当、用力过猛容易造成关节( )。
A.骨折 B.紧张 C.脱臼 D.松弛